Optoelectronic Hybird Integration | E-mail:sales1@cqwiseworld.com
You are here: Home » News » Millimeter-wave Optical Transmission Links and Key Optical Modules

Millimeter-wave Optical Transmission Links and Key Optical Modules

Views: 0     Author: Site Editor     Publish Time: 2026-03-30      Origin: Site

Inquire

facebook sharing button
twitter sharing button
line sharing button
wechat sharing button
linkedin sharing button
pinterest sharing button
whatsapp sharing button
kakao sharing button
snapchat sharing button
telegram sharing button
sharethis sharing button

With the continuous development of optical communication technology, millimeter-wave optical transmission links are receiving increasing attention. Due to the high frequency of the millimeter-wave band, traditional cable transmission methods have many disadvantages, such as large size, high loss, heavy weight, and poor anti-interference capability. These bottlenecks largely limit high-frequency, long-distance applications. Fiber-optic transmission of millimeter-wave signals can overcome many of the defects of cable transmission and has become the optimal choice for high-frequency, long-distance transmission.

The typical block diagram of a millimeter-wave optical link is shown in Figure 1. 

The typical block diagram of a millimeter-wave optical link 

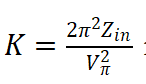
For an external modulated optical link, the system's signal gain can be expressed as

external modulated optical link's signal gain 

iB represents the DC photocurrent received by the photodetector, Zout is the output load,企业微信截图_20260330141935 is the electro-optic modulation response of the electro-optic modulator, and Zin is the input impedance of the electro-optic modulator.

The link consists of a low-noise high-power laser module, a thin-film lithium niobate modulator module, optical fiber, and a millimeter-wave optical receiving module. The laser module has an output power greater than 60 mW and a relative intensity noise below -160 dBc/Hz; the electro-optic modulator module has a bandwidth greater than 50 GHz and a half-wave voltage better than 3 V; the photodetector module has a bandwidth greater than 50 GHz.

Figure 2 is the product family developed by our team, which can be flexibly applied to millimeter-wave optical transmission links, millimeter-wave fiber delay lines, and millimeter-wave radio altimeters.

DFB laser

DFB laser

TFLN modulator

TFLN modulator

photodetector

photodetector

If you have any technical questions regarding link design or device applications, please feel free to contact us.


Photoelectric transmission solutions, ceramic package optocouplers and optical MOS solid state relays.
 

Quick Links

Products Categories

Contact Us

Add: NO.7, Chahua Road, Nan'an District, Chongqing 401336, China.
VK / WeChat / WhatsApp:
+86-13308395418
Copyright © 2025 Wiseworld Technology Co., Ltd. All Rights Reserved. Privacy Policy | Sitemap